Prayer

A Humble Prayer

True learning goes beyond books; it begins with a sense of peace and a heart filled with gratitude. As we walk together on the path of knowledge and personal growth, let us also nurture our inner calm.

Please chant:

Hare Krishna Hare Krishna
Krishna Krishna Hare Hare
Hare Rama Hare Rama
Rama Rama Hare Hare

May these sacred words bring harmony.

๐Ÿ™๐Ÿฝ Thank you

Saturday, July 27, 2013

70-11 Basics of Quadratic Equations

                  
Some special and critical types of factors:
Please download the following file and study it very carefully so that you will not find any difficulties while solving quadratic equations. Download the following file by clicking on it.

Click here to download the critical-type-of-factors.pdf file.

Just go through this downloaded file and be prepared to solve any problem pertaining to these critical factors.
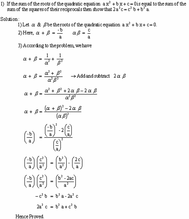
Some Important Problems related to Quadratic Equations:

Thursday, July 25, 2013

69-10 Basics of Quadratic Equations


Some special and critical types of factors:
Please download the following file and study it very carefully so that you will not find any difficulties while solving quadratic equations. Download the following file by clicking on it.

Click here to download the critical-type-of-factors.pdf file.

Just go through this downloaded file and be prepared to solve any problem pertaining to these critical factors.
Some Important Problems related to Quadratic Equations:
A few more problems on Quadratic Equations related to factors will be discussed in the next Blog.

Wednesday, July 24, 2013

68-09 Basics of Quadratic Equations


Some special and critical types of factors:
Please download the following file and study it very carefully so that you will not find any difficulties while solving quadratic equations. Download the following file by clicking on it.

Click here to download the critical-type-of-factors.pdf file.

Just go through this downloaded file and be prepared to solve any problem pertaining to these critical factors.
Some Important Problems related to Quadratic Equations:
A few more problems on Quadratic Equations related to factors will be discussed in the next Blog.